Association Not Causation

2025-11-12

Association is not causation

  • Association is not causation is perhaps the most important lesson one can learn in a statistics class.

  • Correlation is not causation is another way to say this.

  • Throughout the statistics part of the book, we have described tools useful for quantifying associations between variables.

  • However, we must be careful not to over-interpret these associations.

Minimal requirements

  • Empirical association (i.e. Correlation): A relationship must exist between the cause and effect

  • Temporal priority: The cause must happen before the effect. This is considered the most widely accepted requirement for a causal relationship.

  • There is a dose-response relationship: increasing the “dose” of the cause increases the effect.

  • Plausibility: There is a plausible mechanism that explains how the cause leads to the effect.

  • Exploration and Elimination of alternative causes: Find confounders and understand their role.

Association is not causation

  • There are many reasons that a variable \(X\) can be correlated with a variable \(Y\), without having any direct effect on \(Y\).

  • Today we describe four: spurious correlation, data dredging, reverse causation, and confounders.

  • With reverse causation the correlation is real, it is just not causal

Spurious correlation

Spurious Associations

  • any two things that change in a monotone fashion over time will be correlated
    • this can also be caused, as we will see by confounding (where time is often an unadjusted confounder)
  • if you look at enough tests, one will be positive (data dredging)
    • you should always ask: “How many tests did you do?”
    • use of the False Discovery Rate (FDR) and other tools reduces this issue
  • outlying observations can cause high correlation
    • outliers are often spurious but not always

Spurious correlation

library(tidyverse) 
N <- 25 
g <- 1000000 
sim_data <- tibble(group = rep(1:g, each = N),  
                   x = rnorm(N*g),  
                   y = rnorm(N*g)) 

Spurious correlation

res <- sim_data |>  
  group_by(group) |>  
  summarize(r = cor(x, y)) |>  
  arrange(desc(r)) 
res 
# A tibble: 1,000,000 × 2
    group     r
    <int> <dbl>
 1 487822 0.809
 2 312927 0.799
 3 458790 0.785
 4 824422 0.781
 5 160316 0.772
 6 658446 0.767
 7 646127 0.761
 8 444083 0.758
 9 242805 0.757
10 898776 0.754
# ℹ 999,990 more rows
  • We see a maximum correlation of 0.809.

Spurious correlation

sim_data |> filter(group == res$group[which.max(res$r)]) |> 
  ggplot(aes(x, y)) + 
  geom_point() +  
  geom_smooth(method = "lm") 

Spurious correlation

Spurious correlation

  • Sample correlation is a random variable:

Spurious correlation

  • It’s simply a mathematical fact that if we observe random correlations that are expected to be 0, but have a standard error of 0.204, then the largest one will be close to 1.

Spurious correlation

library(broom) 
sim_data |>  
  filter(group == res$group[which.max(res$r)]) |> 
  summarize(tidy(lm(y ~ x))) |>  
  filter(term == "x") 
# A tibble: 1 × 5
  term  estimate std.error statistic     p.value
  <chr>    <dbl>     <dbl>     <dbl>       <dbl>
1 x        0.802     0.121      6.61 0.000000970

Spurious correlation

  • This particular form of data dredging is referred to as p-hacking.

  • P-hacking is a topic of much discussion because it poses a problem in scientific publications.

  • Since publishers tend to reward statistically significant results over negative results, there is an incentive to report significant results.

Spurious correlation

  • In epidemiology and the social sciences, for example, researchers may look for associations between an adverse outcome and several exposures, and report only the one exposure that resulted in a small p-value.

  • Similarly with high throughput biology it is routine to test 100’s to 1000’s of genes, genetic variants, epigenetic sites

  • unless care is taken to perform some form of p-value adjustment these results are unlikely to replicate

Spurious correlation

  • Furthermore, they might try fitting several different models to account for confounding and choose the one that yields the smallest p-value.

Spurious correlation

  • In experimental disciplines, an experiment might be repeated more than once, yet only the results of the one experiment with a small p-value reported.

Spurious correlation

  • This does not necessarily happen due to unethical behavior, but rather as a result of statistical ignorance or wishful thinking.

  • In advanced statistics courses, you can learn methods to adjust for these multiple comparisons.

Outliers

set.seed(1985) 
x <- rnorm(100,100,1) 
y <- rnorm(100,84,1) 
x[-23] <- scale(x[-23]) 
y[-23] <- scale(y[-23]) 

Outliers

Outliers

cor(x,y) 
[1] 0.988

This high correlation is driven by the one outlier.

Outliers

  • If we remove this outlier, the correlation is greatly reduced to almost 0:
cor(x[-23], y[-23]) 
[1] -0.0442

Reversing cause and effect

  • Another way association is confused with causation is when the cause and effect are reversed.

  • An example of this is claiming that tutoring makes students perform worse because they test lower than peers that are not tutored.

  • In this case, the tutoring is not causing the low test scores, but the other way around.

Reversing cause and effect

Quote from NY Times:

When we examined whether regular help with homework had a positive impact on children’s academic performance, we were quite startled by what we found. Regardless of a family’s social class, racial or ethnic background, or a child’s grade level, consistent homework help almost never improved test scores or grades…

  • A more likely possibility is that the children needing regular parental help, receive this help because they don’t perform well in school.

Reversing cause and effect

  • If we fit the model:

\[ X_i = \beta_0 + \beta_1 y_i + \varepsilon_i, i=1, \dots, N \]

  • where \(X_i\) is the father height and \(y_i\) is the son height, we do get a statistically significant result.
galton_heights |> summarize(tidy(lm(father ~ son))) 
# A tibble: 2 × 5
  term        estimate std.error statistic  p.value
  <chr>          <dbl>     <dbl>     <dbl>    <dbl>
1 (Intercept)   40.9      4.40        9.29 5.47e-17
2 son            0.407    0.0636      6.40 1.36e- 9

Reversing cause and effect

  • The model fits the data very well.

  • The model is technically correct.

  • The estimates and p-values were obtained correctly as well.

  • But we cannot interpret this as saying that the heights of the son’s has any causal effect on the height of the fathers

Confounders

  • Confounders are a common reason for associations being misinterpreted.

  • When studying the relationship between and exposure and an outcome a confounder is third variable that:

    • Is related to the exposure

    • Affects the outcome, and is not caused by the exposure

  • hence the confounder can affect the perceived relationship between the exposure and the outcome.

Confounders

  • Earlier, when studying baseball data, we saw how Home Runs were a confounder that resulted in a higher correlation than expected when studying the relationship between Bases on Balls and Runs.

  • In some cases, we can use linear models to account for confounders.

  • However, this is not always the case.

Confounders

  • Incorrect interpretation due to confounders is ubiquitous in the lay press and they are often hard to detect.

  • Here, we present a widely used example related to college admissions.

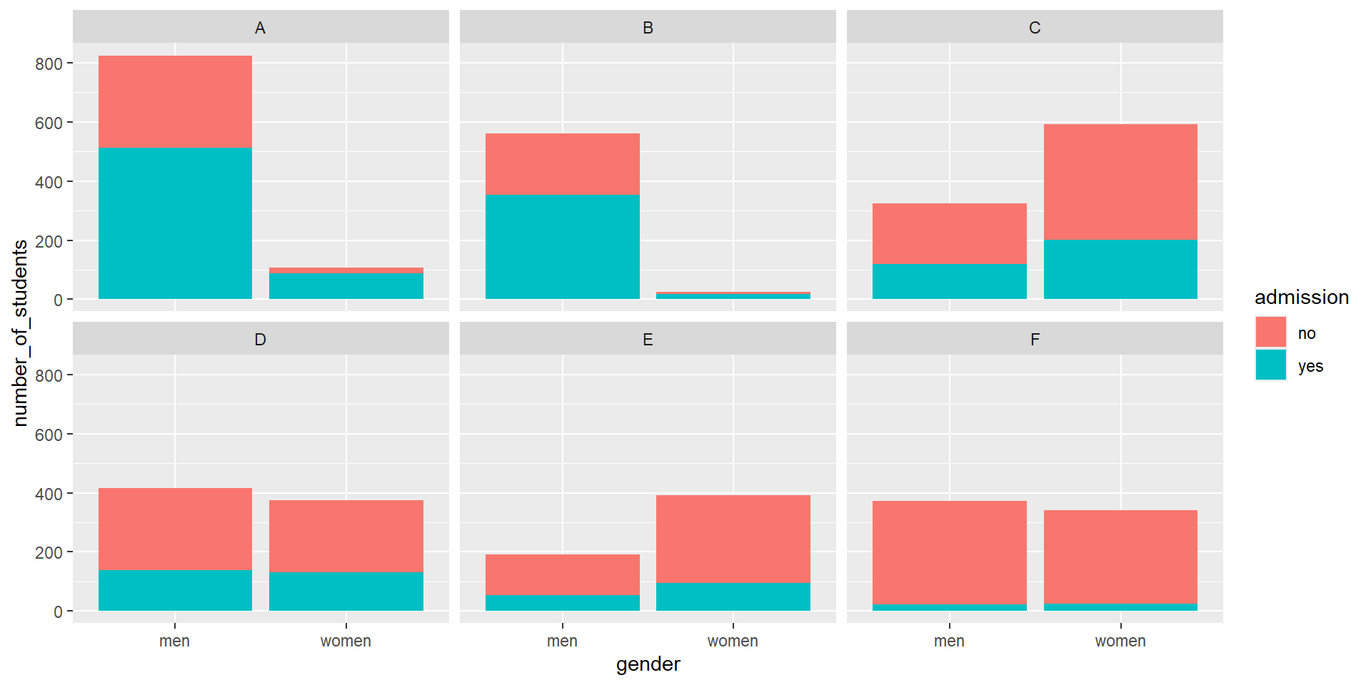
UC Berkeley admissions

two_by_two <- admissions |> group_by(gender) |>  
  summarize(total_admitted = round(sum(admitted / 100 * applicants)),  
            not_admitted = sum(applicants) - sum(total_admitted)) 
two_by_two |> 
  mutate(percent = total_admitted/(total_admitted + not_admitted)*100)
# A tibble: 2 × 4
  gender total_admitted not_admitted percent
  <chr>           <dbl>        <dbl>   <dbl>
1 men              1198         1493    44.5
2 women             557         1278    30.4
two_by_two <- select(two_by_two, -gender)
chisq.test(two_by_two)$p.value 
[1] 1.06e-21

UC Berkeley admissions

  • Closer inspection shows a paradoxical result:
admissions |> select(major, gender, admitted) |> 
  pivot_wider(names_from = "gender", values_from = "admitted") |> 
  mutate(women_minus_men = women - men) 
# A tibble: 6 × 4
  major   men women women_minus_men
  <chr> <dbl> <dbl>           <dbl>
1 A        62    82              20
2 B        63    68               5
3 C        37    34              -3
4 D        33    35               2
5 E        28    24              -4
6 F         6     7               1

UC Berkeley admissions

  • What’s going on?

  • This actually can happen if an uncounted confounder is driving most of the variability.

  • This particular version is called Simpson’s Paradox

UC Berkeley admissions

Confounding explained

Average after stratifying

Average after stratifying

  • If we average the difference by major, we find that the percent is actually 3.5% higher for women.
admissions |>  group_by(gender) |> 
  summarize(average = mean(admitted)) 
# A tibble: 2 × 2
  gender average
  <chr>    <dbl>
1 men       38.2
2 women     41.7

Simpson’s paradox

  • The case we have just covered is an example of Simpson’s paradox.

  • It is called a paradox because we see the sign of the correlation flip when comparing the entire population to specific strata.

Simpson’s paradox

  • Simulated \(X\), \(Y\), and \(Z\):

Simpson’s paradox

  • You can see that \(X\) and \(Y\) are negatively correlated.

  • However, once we stratify by \(Z\) (shown in different colors below), another pattern emerges.

Simpson’s paradox

Simpson’s paradox

Simpson’s paradox

  • It is really \(Z\) that is negatively correlated with \(X\).

  • If we stratify by \(Z\), the \(X\) and \(Y\) are actually positively correlated, as seen in the plot above.

Collider Bias

  • when studying medical records an interesting phenomenon called collider bias can occur

  • Example from Wikipedia: https://en.wikipedia.org/wiki/Berkson%27s_paradox

An example presented by mathematician Jordan Ellenberg is that of a dating pool, measured on axes of niceness and handsomeness. A person might conclude from their own dating experience that “the handsome ones tend not to be nice, and the nice ones tend not to be handsome”.

Collider Bias Example

  • Alice decides to only date men that that are above some line of handsomeness and niceness

  • But as a result the really handsome ones do not have to be that nice and the really nice ones do not need to be that handsome

  • so now Alice notices a correlation in her dating pool even when there is no such correlation in the population

Medically relevant examples

  • studies of hospital records can come to the wrong conclusions

  • being in hospital requires that the person have something serious and medically adverse

  • unless care is taken spurious negative associations can be found

  • when looking at everyone in the hospital for appendicitis the researchers find that few if any of them have kidney disease

Medical Example

  • and when comparing their appendicitis patients to controls, taken from patients in the hospital they find this association to be significant

  • it would be wrong to believe that this suggests that kidney disease is protective against appendicitis

  • they have to have something wrong with them, and since both kidney disease and appendicitis are rare it is very unlikely that many patients will have both