2025-11-03
To understand the concepts of correlation and simple regression, we actually use the dataset from which regression was born.
The example is from genetics.
Francis Galton studied the variation and heredity of human traits.
Among many other traits, Galton collected and studied height data from families to try to understand heredity.
While doing this, he developed the concepts of correlation and regression.
At the time this data was collected, our knowledge of genetics was limited compared to what we know today.
A very specific question Galton tried to answer was: how well can we predict a child’s height based on the parents’ height?
We have access to Galton’s family height data through the HistData package.
This data contains heights on several dozen families: mothers, fathers, daughters, and sons.
Suppose we were asked to summarize the father and son data.
Since both distributions are well approximated by the normal distribution, we could use:
The Pearson correlation coefficient is an informative summary of how two variables move together.
we can define the sample correlation for any bivariate set of data
It’s defined for a list of pairs \((x_1, y_1), \dots, (x_n,y_n)\) as:
\[ \rho = \frac{1}{n} \sum_{i=1}^n \left( \frac{x_i-\bar{x}}{s_x} \right)\left( \frac{y_i-\bar{y}}{s_y} \right) \] - with \(\bar{x}, \bar{y}\) the sample means of \(x_1,\dots, x_n\) and \(y_1, \dots, y_n\), respectively, and \(s_x, s_y\) the sample standard deviations.
\(\rho\) is the greek letter for \(r\).
It is not a coincidence that \(r\) is the first letter in regression.
We will learn about the connection between correlation and regression.
To understand why this equation does in fact summarize how two variables move together, note that the \(i\)-th entry of \(x\) is \(\left( \frac{x_i-\bar{x}}{s_x} \right)\) SDs away from the average.
Similarly, the \(y_i\) that is paired with \(x_i\), is \(\left( \frac{y_1-\bar{y}}{s_y} \right)\) SDs away from the average \(y\).
If \(x\) and \(y\) are unrelated, the product \[ \left( \frac{x_i-\bar{x}}{s_x} \right) \cdot \left( \frac{y_i-\bar{y}}{s_y} \right) \] will be positive ( \(+ \times +\) and \(- \times -\) ) as often as negative (\(+ \times -\) and \(- \times +\)) and will average out to about 0.
this correlation measure linear relationships and is less informative if \(x\) and \(y\) have a non-linear relationship
The Pearson correlation is the average of the product of those deviations and therefore unrelated variables will have a correlation close to zero
If instead the quantities vary together, say higher values of x go with higher values of y, then we are averaging mostly positive products so we get a positive correlation
If large values of x go with smaller values of y, then we are averaging mostly negative values, and we get a negative correlation
The correlation coefficient is always between -1 and 1.
the sample correlation coefficient is 1 or -1 only when x and y lie exactly on a straight line.
We can show these facts mathematically.
cor, between father and son’s heights is about 0.5:Warning
The function cor(x, y) computes the sample correlation, which divides the sum of products by length(x)-1 rather than length(x).
The rationale for this is akin to the reason we divide by length(x)-1 when computing the sample standard deviation sd(x).
Namely, this adjustment helps account for the degrees of freedom in the sample, which is necessary for unbiased estimates.
Before we continue connecting correlation to regression, let’s remind ourselves about random variability.
In most applications, we observe data that includes random variation.
For example, in many cases, we do not observe data for the entire population of interest, but rather for a random sample.
As with the average and standard deviation, the sample correlation is the most commonly used estimate of the population correlation.
This implies that the correlation we compute and use as a summary is a random variable.
By way of illustration, let’s assume that the 179 pairs of fathers and sons is our entire population.
A less fortunate geneticist can only afford measurements from a random sample of 25 pairs.
The sample correlation can be computed with:
r is a random variable.
r is the population correlation:r can take:So, when interpreting correlations, remember that correlations derived from samples are estimates containing uncertainty.
Also, note that because the sample correlation is an average of independent draws, the central limit actually applies.
Therefore, for large enough \(N\), the distribution of r is approximately normal with expected value \(\rho\).

Correlation is not always a good summary of the relationship between two variables.
The following four artificial datasets, referred to as Anscombe’s quartet, famously illustrate this point.
Correlation is only meaningful in a particular context.
To help us understand when correlation is meaningful as a summary statistic, we return to the example of predicting a son’s height using his father’s height.
Suppose we are asked to guess the height of a randomly selected son and we don’t know his father’s height.
Because the distribution of sons’ heights is approximately normal, we know the average height, 69.2, is the value with the highest proportion and would be the prediction with the highest chance of minimizing the error.
But what if we are told that the father is taller than average, say 72 inches tall, do we still guess 69.2 for the son?
It turns out that, if we were able to collect data from a very large number of fathers that are 72 inches, the distribution of their sons’ heights would be normally distributed.
This implies that the average of the distribution computed on this subset would be our best prediction.
We call this approach conditioning.
The general idea is that we stratify a population into groups and compute summaries in each group.
To provide a mathematical description of conditioning, consider that we have a population of pairs of values \((x_1,y_1),\dots,(x_n,y_n)\), for example all father and son heights in England.
In the previous chapter, we learned that if you take a random pair \((X,Y)\), the expected value and best predictor of \(Y\) is \(\mbox{E}(Y) = \bar{y}\), the population average \(1/n\sum_{i=1}^n y_i\).
However, we are no longer interested in the general population.
We want to see if we can get better estimates if we know something additional, say from another variable that is correlated with \(Y\).
Instead, we are interested in only the subset of a population with a specific \(x_i\) value, 72 inches in our example.
This subset of the population is also a population, and thus, the same principles and properties we have learned apply.
The \(y_i\) in the subpopulation have a distribution, referred to as the conditional distribution, and this distribution has an expected value referred to as the conditional expectation.
In our example, the conditional expectation is the average height of all sons in England with fathers that are 72 inches.
The statistical notation for the conditional expectation is: \[ \mbox{E}(Y \mid X = x) \]
with \(x\) representing the fixed value that defines that subset, for example 72 inches.
this represents the average value of the variable named \(Y\) when the variable named \(X\) has value \(x\)
\[ \mbox{SD}(Y \mid X = x) = \sqrt{\mbox{Var}(Y \mid X = x)} \]
Because the conditional expectation \(E(Y\mid X=x)\) is the best predictor for the random variable \(Y\) for an individual in the strata defined by \(X=x\), many data science challenges reduce to estimating this quantity.
The conditional standard deviation quantifies the precision of the prediction.
In the example we have been considering, we are interested in computing the average son height conditioned on the father being 72 inches tall.
We want to estimate \(E(Y|X=72)\) using the sample collected by Galton.
We previously learned that the sample average is the preferred approach to estimating the population average.
A challenge when using this approach is that we don’t have many data points matching exactly one value in our sample.
For example, we have only:
A practical way to improve these estimates of the conditional expectations is to define strata of observations with similar value of \(x\).
In our example, we can round father heights to the nearest inch and assume that they are all 72 inches.
If we do this, we end up with the following prediction for the son of a father that is 72 inches tall:
conditional_avg <- galton_heights |>
filter(round(father) == 72) |>
summarize(avg = mean(son)) |>
pull(avg)
conditional_avg [1] 70.5
Our prediction 70.5 is also taller than average, but only 0.49 standard deviations larger than the average son.
The sons of 72 inch fathers have regressed some to the average height.
We notice that the reduction in how many SDs taller is about 0.5, which happens to be the correlation. This is not a coincidence.
If we want to make a prediction of any height, not just 72 inches, we could apply the same approach to each strata.
Not surprisingly, the centers of the groups are increasing with height.
Furthermore, these centers appear to follow a linear relationship.
Below, we plot the averages of each group.
If we take into account that these averages are random variables with standard errors, the data is consistent with these points following a straight line:
The fact that these conditional averages follow a line is not a coincidence.
The line these averages follow is what we call the regression line.
However, it is not always appropriate to estimate conditional expectations with the regression line, so we also describe Galton’s theoretical justification for using the regression line.
\[ \left( \frac{\widehat{Y}-\mu_Y}{\sigma_Y} \right) = \rho \left( \frac{x-\mu_X}{\sigma_X} \right) \]
\[ \widehat{Y} = \mu_Y + \rho \left( \frac{x-\mu_X}{\sigma_X} \right) \sigma_Y \]
If there is perfect correlation, the regression line predicts an increase that is the same number of SDs.
If there is 0 correlation, then \(X\) does not help predict \(Y\) at all we simply predict the average \(\bar{Y}\).
For values of \(|\rho|\) between 0 and 1, the prediction is somewhere in between.
If the correlation between \(X\) and \(Y\) is negative, we predict a reduction instead of an increase.
Note that if the correlation is positive and lower than 1, our prediction is closer, in standard units, to the average height than the value used to predict, \(x\), is to the average of the \(x\)s.
This is why we call it regression: the son regresses to the average height.
In fact, the title of Galton’s paper was: Regression toward mediocrity in hereditary stature.
\[ \widehat{Y} = b + mx \mbox{ with slope } m = \rho \frac{\sigma_y}{\sigma_x} \mbox{ and intercept } b=\mu_y - m \mu_x \]
mu_x <- mean(galton_heights$father)
mu_y <- mean(galton_heights$son)
s_x <- sd(galton_heights$father)
s_y <- sd(galton_heights$son)
r <- cor(galton_heights$father, galton_heights$son)
galton_heights |>
ggplot(aes(father, son)) +
geom_point(alpha = 0.5) +
geom_abline(slope = r * s_y/s_x, intercept = mu_y - r * s_y/s_x * mu_x) Let’s compare the two approaches to prediction that we have presented:
Round fathers’ heights to closest inch, stratify, and then take the average.
Compute the regression line and use it to predict.
We use a Monte Carlo simulation sampling \(N=50\) families:
B <- 1000
N <- 50
set.seed(1983)
conditional_avg <- replicate(B, {
dat <- sample_n(galton_heights, N)
dat |> filter(round(father) == 72) |>
summarize(avg = mean(son)) |>
pull(avg)
})
regression_prediction <- replicate(B, {
dat <- sample_n(galton_heights, N)
mu_x <- mean(dat$father)
mu_y <- mean(dat$son)
s_x <- sd(dat$father)
s_y <- sd(dat$son)
r <- cor(dat$father, dat$son)
mu_y + r*(72 - mu_x)/s_x*s_y
}) The prediction obtained with the regression line is therefore much more stable than the prediction obtained using the conditional mean.
There is an intuitive reason for this.
The conditional average is computed on a relatively small subset: the fathers that are about 72 inches tall.
In fact, in some of the permutations we have no data, which is why we used na.rm=TRUE in our simulation.
The regression line is estimated using all the data.
So why not always use the regression line for prediction? Because it is not always appropriate.
For example, Anscombe provided cases for which the data does not have a linear relationship.
So are we justified in using the regression line to predict? Galton answered this in the positive for height data.
The justification, which we include in the next section, is somewhat more advanced than the rest of the chapter.
Correlation and the regression slope are a widely used summary statistic, but they are often misused or misinterpreted.
Anscombe’s examples provide over-simplified cases in which the correlation is not a useful summary.
But there are many real-life examples.
The main way we motivate appropriate use of correlation as a summary, involves the bivariate normal distribution.
When a pair of random variables is approximated by the bivariate normal distribution, scatterplots look like ovals.
As we saw in earlier they can be thin (high correlation) or circle-shaped (no correlation).
A more technical way to define the bivariate normal distribution is the following: if \(X\) is a normally distributed random variable, \(Y\) is also a normally distributed random variable, and the conditional distribution of \(Y\) for any \(X=x\) is approximately normal, then the pair is approximately bivariate normal.

Now we come back to defining correlation.
Galton used mathematical statistics to demonstrate that, when two variables follow a bivariate normal distribution, computing the regression line is equivalent to computing conditional expectations.
\[ \mbox{E}(Y | X=x) = \mu_Y + \rho \frac{x-\mu_X}{\sigma_X}\sigma_Y \]
This is the regression line, with slope \[\rho \frac{\sigma_Y}{\sigma_X}\] and intercept \(\mu_y - m\mu_X\).
This is equivalent to the regression equation we showed earlier which can be written like this:
\[ \frac{\mbox{E}(Y \mid X=x) - \mu_Y}{\sigma_Y} = \rho \frac{x-\mu_X}{\sigma_X} \]
This implies that, if our data is approximately bivariate, the regression line gives the conditional probability.
Therefore, we can obtain a much more stable estimate of the conditional expectation by finding the regression line and using it to predict.
\[ \mbox{SD}(Y \mid X=x ) = \sigma_Y \sqrt{1-\rho^2} \]
To see why this is intuitive, notice that without conditioning, \(\mbox{SD}(Y) = \sigma_Y\), we are looking at the variability of all the sons.
But once we condition, we are only looking at the variability of the sons with a tall, 72 inch father.
This group will all tend to be somewhat tall so the standard deviation is reduced.
Specifically, it is reduced to \(\sqrt{1-\rho^2} = \sqrt{1 - 0.25}\) = 0.87 of what it was originally.
We could say that father heights “explain” 13% of the variability observed in son heights.
The statement “\(X\) explains such and such percent of the variability” is commonly used in academic papers.
In this case, this percent actually refers to the variance (the SD squared).
So if the data is bivariate normal, the variance is reduced by \(1-\rho^2\), so we say that \(X\) explains \(1- (1-\rho^2)=\rho^2\) (the correlation squared) of the variance.
But it is important to remember that the “variance explained” statement only makes sense when the data is approximated by a bivariate normal distribution.
We computed a regression line to predict the son’s height from father’s height.
We used these calculations:
What if we want to predict the father’s height based on the son’s? It is important to know that this is not determined by computing the inverse function: \(x = \{ \mbox{E}(Y\mid X=x) -\) 37.3 \(\} /\) 0.5.
We need to compute \(\mbox{E}(X \mid Y=y)\).
Since the data is approximately bivariate normal, the theory described earlier tells us that this conditional expectation will follow a line with slope and intercept:
So we get \(\mbox{E}(X \mid Y=y) =\) 40.9 + 0.41y.
Again, we see regression to the average: the prediction for the father is closer to the father average than the son heights \(y\) is to the son average.
Next we show plot showing the two regression lines, with blue for the predicting son heights with father heights, and red for predicting father heights with son heights:
We are now ready to understand the connection between regression and linear models.
We have described how, if data is bivariate normal, then the conditional expectations follow the regression line.
The fact that the conditional expectation is a line is not an extra assumption, but rather a derived result.
However, in practice it is common to explicitly write down a model that describes the relationship between two or more variables using a linear model.
We note that linear here does not refer to lines exclusively, but rather to the fact that the conditional expectation is a linear combination of known quantities.
In mathematics, when we multiply each variable by a constant and then add them together, we say we formed a linear combination of the variables.
For example, \(3x - 4y + 5z\) is a linear combination of \(x\), \(y\), and \(z\).
We can also add a constant so \(2 + 3x - 4y + 5z\) is also a linear combination of \(x\), \(y\), and \(z\).
We previously described how if \(X\) and \(Y\) are bivariate normal, then if we look at only the pairs with \(X=x\), then \(Y \mid X=x\) follows a normal distribution with expected value \(\mu_Y + \rho \frac{x-\mu_X}{\sigma_X}\sigma_Y\), which is a linear function of \(x\), and standard deviation \(\sigma_Y \sqrt{1-\rho^2}\) that does not depend on \(x\).
\[ Y = \beta_0 + \beta_1 x + \varepsilon \]
Note
In statistical textbooks, the \(\varepsilon\)s are referred to as “errors,” which originally represented measurement errors in the initial applications of these models.
These errors were associated with inaccuracies in measuring height, weight, or distance.
However, the term “error” is now used more broadly, even when the \(\varepsilon\)s do not necessarily signify an actual error.
For instance, in the case of height, if someone is 2 inches taller than expected, based on their parents’ height, those 2 inches should not be considered an error.
Despite its lack of descriptive accuracy, the term “error” is employed to elucidate the unexplained variability in the model, unrelated to other included terms.
\[ Y_i = \beta_0 + \beta_1 x_i + \varepsilon_i, \, i=1,\dots,N. \]
We can further assume that \(\varepsilon_i\) are independent from each other and all have the same standard deviation.
In the above model, we know the \(x_i\), but to have a useful model for prediction, we need \(\beta_0\) and \(\beta_1\).
We estimate these from the data.
Once we do this, we can predict son’s heights for any father’s height \(x\).
Although this model is exactly the same one we derived earlier by assuming bivariate normal data, a somewhat nuanced difference is that, in the first approach, we assumed the data was bivariate normal and the linear model was derived, not assumed.
In practice, linear models are just assumed without necessarily assuming normality: the distribution of the \(\varepsilon\)s is not necessarily specified.
Nevertheless, if your data is bivariate normal, the above linear model holds.
If your data is not bivariate normal, then you will need to have other ways of justifying the model.
One reason linear models are popular is that they are interpretable.
In the case of Galton’s data, we can interpret the data like this: due to inherited genes, the son’s height prediction grows by \(\beta_1\) for each inch we increase the father’s height \(x\).
Because not all sons with fathers of height \(x\) are of equal height, we need the term \(\varepsilon\), which explains the remaining variability.
This remaining variability includes the mother’s genetic effect, environmental factors, and other biological randomness.
Given how we wrote the model above, the intercept \(\beta_0\) is not very interpretable, as it is the predicted height of a son with a father with no height.
Due to regression to the mean, the prediction will usually be a bit larger than 0.
\[ Y_i = \beta_0 + \beta_1 (x_i - \bar{x}) + \varepsilon_i, \, i=1,\dots,N \]
with \(\bar{x} = 1/N \sum_{i=1}^N x_i\) the average of the \(x\).
In this case, \(\beta_0\) represents the height when \(x_i = \bar{x}\), which is the height of the son of an average father.
For linear models to be useful, we have to estimate the unknown \(\beta\)s.
The standard approach is to find the values that minimize the distance of the fitted model to the data.
Specifically, we find the \(\beta\)s that minize the least squares (LS) equation show below.
\[ RSS = \sum_{i=1}^n \left\{ y_i - \left(\beta_0 + \beta_1 x_i \right)\right\}^2 \]
The quantity we try to minimize is called the residual sum of squares (RSS).
Once we find the values that minimize the RSS, we will call the values the least squares estimates (LSE) and denote them by placing a hat over the parameters.
In our example we use \(\hat{\beta}_0\) and \(\hat{\beta}_1\).
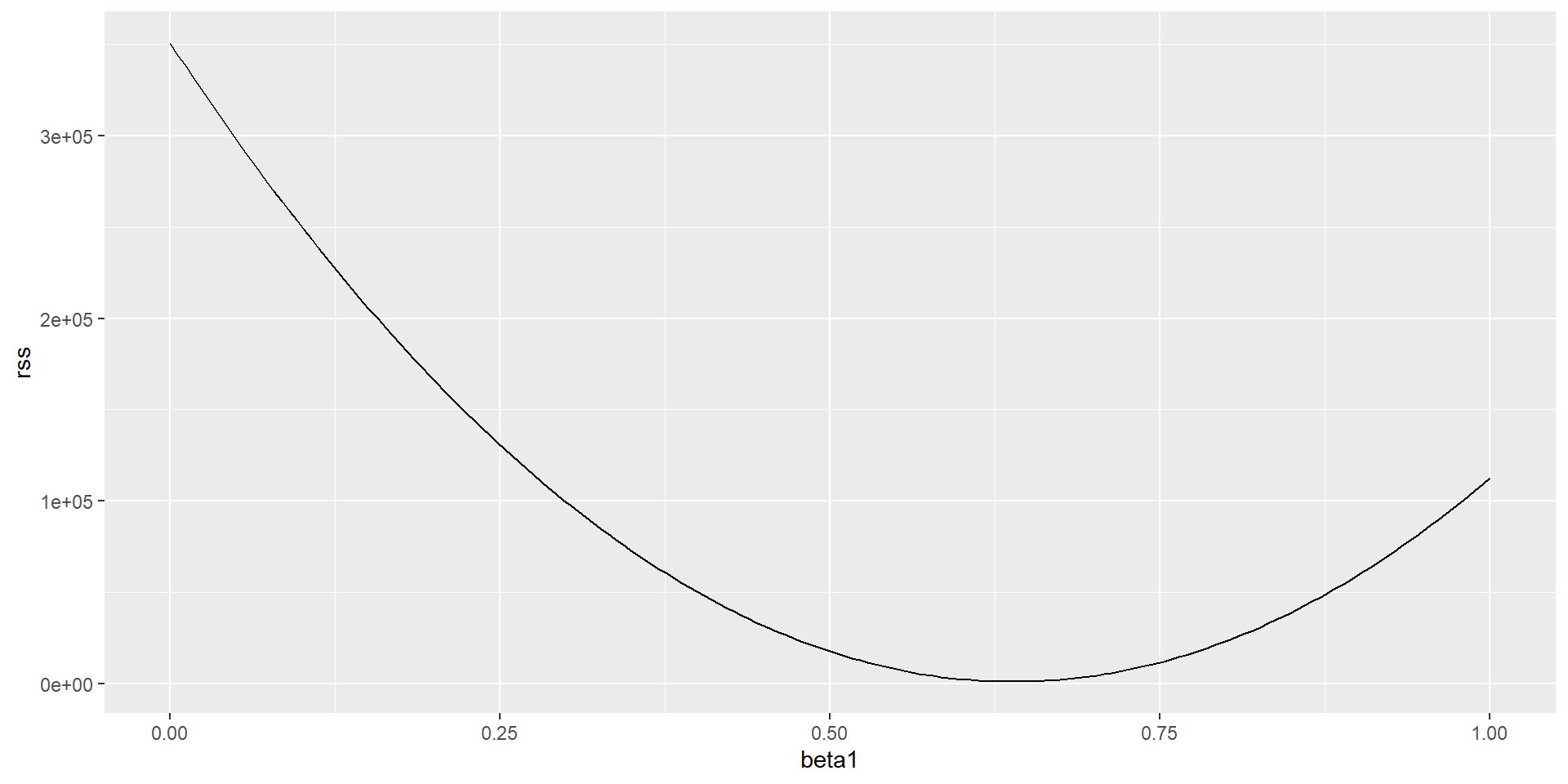
We will demonstrate how we find these values using the previously defined galton_heights dataset.
We can see a clear minimum for \(\beta_1\) at around 0.65.
However, this minimum for \(\beta_1\) is for when \(\beta_0 = 25\), a value we arbitrarily picked.
We don’t know if (25, 0.65) is the pair that minimizes the equation across all possible pairs.
Trial and error is not going to work in this case.
We could search for a minimum within a fine grid of \(\beta_0\) and \(\beta_1\) values, but this is unnecessarily time-consuming since we can use calculus.
Specifically, we take the partial derivatives, set them to 0, and solve for \(\beta_1\) and \(\beta_2\).
Of course, if we have many parameters, these equations can get rather complex.
There are functions in R that do these calculations for us.
To learn the mathematics behind this, you can consult a book on linear models.
lm functionIn R, we can obtain the least squares estimates using the lm function.
To fit the model:
\[ Y_i = \beta_0 + \beta_1 x_i + \varepsilon_i \]
lm function(Intercept) father
37.287605 0.461392
The most common way we use lm is by using the character ~ to let lm know which is the variable we are predicting (left of ~) and which we are using to predict (right of ~).
The intercept is added automatically to the model that will be fit.
lm functionThe object fit includes more information.
We can use the function summary to extract more of this information:
Call:
lm(formula = son ~ father, data = galton_heights)
Residuals:
Min 1Q Median 3Q Max
-9.3543 -1.5657 -0.0078 1.7263 9.4150
Coefficients:
Estimate Std. Error t value Pr(>|t|)
(Intercept) 37.28761 4.98618 7.478 3.37e-12 ***
father 0.46139 0.07211 6.398 1.36e-09 ***
---
Signif. codes: 0 '***' 0.001 '**' 0.01 '*' 0.05 '.' 0.1 ' ' 1
Residual standard error: 2.45 on 177 degrees of freedom
Multiple R-squared: 0.1878, Adjusted R-squared: 0.1833
F-statistic: 40.94 on 1 and 177 DF, p-value: 1.36e-09
lm functionTo understand some of the information included in this summary, we need to remember that the LSE are random variables.
Mathematical statistics gives us some ideas of the distribution of these random variables.
The LSE is derived from the data \(y_1,\dots,y_N\), which are a realization of random variables \(Y_1, \dots, Y_N\).
This implies that our estimates are random variables.
The reason these look normal is because the central limit theorem applies here as well: for large enough \(N\), the least squares estimates will be approximately normal with expected value \(\beta_0\) and \(\beta_1\), respectively.
The standard errors are a bit complicated to compute, but mathematical theory does allow us to compute them and they are included in the summary provided by the lm function.
summary shows us the standard error estimates:The summary function also reports t-statistics (t value) and p-values (Pr(>|t|)).
The t-statistic is not actually based on the central limit theorem, but rather on the assumption that the \(\varepsilon\)s follow a normal distribution.
Under this assumption, mathematical theory tells us that the LSE divided by their standard error, \[ \hat{\beta}_0 / \widehat{\mbox{SE}}(\hat{\beta}_0 ) \quad \mbox{and} \quad \hat{\beta}_1 / \widehat{\mbox{SE}}(\hat{\beta}_1 ) \] follow a t-distribution with \(N-p\) degrees of freedom, with \(p\) the number of parameters in our model.
In our example \(p=2\), and the two p-values are obtained from testing the null hypothesis that \(\beta_0 = 0\) and \(\beta_1=0\), respectively.
Remember that, as we described earlier, for large enough \(N\), the CLT works and the t-distribution becomes almost the same as the normal distribution.
Also, notice that we can construct confidence intervals, but we will soon learn about broom, an add-on package that makes this easy.
Although we do not show examples in this book, hypothesis testing with regression models is commonly used in epidemiology and economics to make statements such as “the effect of A on B was statistically significant after adjusting for X, Y, and Z”.
However, several assumptions have to hold for these statements to be true.
Once we fit our model, we can obtain prediction of \(Y\) by plugging in the estimates into the regression model.
For example, if the father’s height is \(x\), then our prediction \(\hat{Y}\) for the son’s height will be:
\[\widehat{Y} = \widehat{\beta}_0 + \widehat{\beta}_1 x\]
When we plot \(\widehat{Y}\) versus \(x\), we see the regression line.
Keep in mind that the prediction \(\widehat{Y}\) is also a random variable and mathematical theory tells us what the standard errors are.
If we assume the errors are normal, or have a large enough sample size, we can use theory to construct confidence intervals as well.
In fact, the ggplot2 layer geom_smooth(method = "lm") that we previously used plots \(\widehat{Y}\) and surrounds it by confidence intervals:
The R function predict takes an lm object as input and returns the prediction.
If requested, the standard errors and other information from which we can construct confidence intervals is provided:
When the linear model is assumed, rather than derived, all interpretations depend on the usefulness of the model.
The lm function will fit the model and return summaries even when the model is wrong and not useful.
Visually inspecting residuals, defined as the difference between observed values and predicted values:
\[ r = Y - \widehat{Y} = Y - \left(\widehat{\beta}_0 - \widehat{\beta}_1 x_i\right), \]
and summaries of the residuals, is a powerful way to diagnose if the model is useful.
Note that the residuals can be thought of estimates of the errors since:
\[ \varepsilon = Y - \left(\beta_0 + \beta_1 x_i \right). \]
In fact residuals are often denoted as \(\widehat{\varepsilon}\).
This motivates several diagnostic plots.
Because we observe \(r\), but don’t observe \(\varepsilon\), we based the plots on the residuals.
Because the errors are assumed not to depend on the expected value of \(Y\), a plot of \(r\) versus the fitted values \(\widehat{Y}\) should show no relationship.
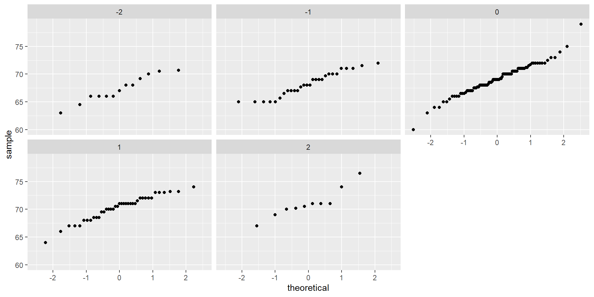
In cases in which we assume the errors follow a normal distribution, a qqplot of standardized \(r\) should fall on a line when plotted against theoretical quantiles.
We prefer plots rather than summaries based on correlation because correlation is not always the best summary of association.
The function plot applied to an lm object automatically plots these.
This function can produce six different plots, and the argument which let’s you specify which you want to see.
You can learn more by reading the plot.lm help file.
However, some of the plots are based on more advanced concepts beyond the scope of this book.
To learn more, we recommend an advanced book on regression analysis.
We later introduce data analysis challenges in which we may decide to not to include certain variables in the model.
Wikipedia defines the sophomore slump as:
A sophomore slump or sophomore jinx or sophomore jitters refers to an instance in which a second, or sophomore, effort fails to live up to the standards of the first effort.
It is commonly used to refer to the apathy of students (second year of high school, college or university), the performance of athletes (second season of play), singers/bands (second album), television shows (second seasons) and movies (sequels/prequels).
In Major League Baseball, the rookie of the year (ROY) award is given to the first-year player who is judged to have performed the best.
The sophomore slump phrase is used to describe the observation that ROY award winners don’t do as well during their second year.
For example, this Fox Sports article[^linear-models-1] asks “Will MLB’s tremendous rookie class of 2015 suffer a sophomore slump?”.
You can find the data in this R package: Lahman
Does the data confirm the existence of a sophomore slump? Let’s take a look.
Examining the data for a widely used measure of success, the batting average, we see that this observation holds true for the top performing ROYs:
In fact, the proportion of players that have a lower batting average during their sophomore year is 0.7090909.
So is it “jitters” or “jinx”? To answer this question, let’s turn our attention to all the players that played the 2013 and 2014 seasons and batted more than 130 times (minimum to win Rookie of the Year).
Their batting averages mostly go up! Is this some sort of reverse sophomore slump? It is not.
There is no such thing as a sophomore slump.
\[ \frac{Y - .255}{.032} = 0.46 \left( \frac{X - .261}{.023}\right) \]
Because the correlation is not perfect, regression tells us that, on average, expect high performers from 2013 to do a bit worse in 2014.
It’s not a jinx; it’s just due to chance.