| Browser | 2000 | 2015 |
|---|---|---|
| Opera | 3 | 2 |
| Safari | 21 | 22 |
| Firefox | 23 | 21 |
| Chrome | 26 | 29 |
| IE | 28 | 27 |
2024-10-07
The next few slides are examples of infogrpahics that don’t follow data visualization principles.
We use them as motivation.
Several of the examples come from here: https://venngage.com/blog/bad-infographics/







We provide some general principles we can use as a guide for effective data visualization.
Much of this section is based on a talk by Karl Broman titled Creating Effective Figures and Tables and includes some of the figures which were made with code that Karl makes available on his GitHub repository, as well as class notes from Peter Aldhous’ Introduction to Data Visualization course.
Following Karl’s approach, we show some examples of plot styles we should avoid, explain how to improve them, and use these as motivation for a list of principles.
We compare and contrast plots that follow these principles to those that don’t.
The principles are mostly based on research related to how humans detect patterns and make visual comparisons.
The preferred approaches are those that best fit the way our brains process visual information.
When deciding on a visualization approach, it is also important to keep our goal in mind.
We may be comparing a
We start by describing some principles for visualy encoding numerical values:
Example:
Suppose we want to report the results from two hypothetical polls regarding browser preference taken in 2000 and then 2015.
For each year, we are simply comparing five quantities – the five percentages for Opera, Safari, Firefox,IE, and Chrome.
A widely used graphical representation of percentages, popularized by Microsoft Excel, is the pie chart:
Here we are representing quantities with both areas and angles, since both the angle and area of each pie slice are proportional to the quantity the slice represents.
This turns out to be a sub-optimal choice since, as demonstrated by perception studies, humans are not good at precisely quantifying angles and are even worse when area is the only available visual cue.
The donut chart uses only area:
Can you determine the actual percentages and rank the browsers’ popularity?
Can you see how they changed from 2000 to 2015?
A better approach is to simply show the numbers. It is not only clearer, but would also save on printing costs if printing a paper copy:
| Browser | 2000 | 2015 |
|---|---|---|
| Opera | 3 | 2 |
| Safari | 21 | 22 |
| Firefox | 23 | 21 |
| Chrome | 26 | 29 |
| IE | 28 | 27 |
Length is the best visual cue:
Label each pie slice with its respective percentage so viewers do not have to infer them:
When using barplots, it is misinformative not to start the bars at 0.
This is because, by using a barplot, we are implying the length is proportional to the quantities being displayed.
By avoiding 0, relatively small differences can be made to look much bigger than they actually are.
This approach is often used by politicians or media organizations trying to exaggerate a difference.
Below is an illustrative example used by Peter Aldhous in this lecture.

(Source: Fox News, via Media Matters.)
Here is the correct plot:
Another examples:

(Source: Fox News, via Flowing Data.)
And here is the correct plot:
One more example:

(Source: Venezolana de Televisión via Pakistan Today and Diego Mariano.)
Here is the appropriate plot:
When using position rather than length, it is not necessary to include 0.
In particularly when comparing between to within groups variability.
President Obama used the following chart to compare the US GDP to the GDP of four competing nations:

(Source: The 2011 State of the Union Address)
Here is comparison of using radius versus area:
ggplot2 defaults to using area rather than radius.
Of course, in this case, we really should be using length:
When one of the axes is used to show categories the default ggplot2 behavior is to order the categories alphabetically when they are defined by character strings.
If they are defined by factors, they are ordered by the factor levels.
We rarely want to use alphabetical order.
Instead, we should order by a meaningful quantity.
Note that the plot on the right is more informative:
Here is another example:
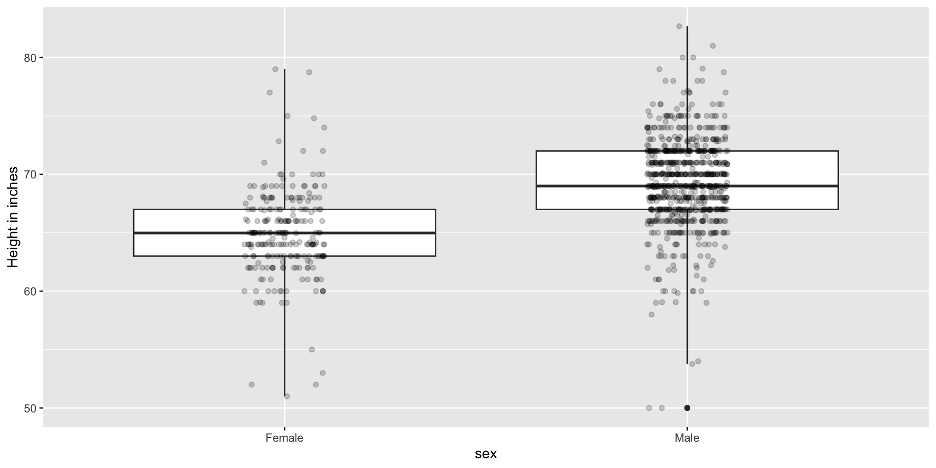
We have focused on displaying single quantities across categories. We now shift our attention to displaying data, with a focus on comparing groups.
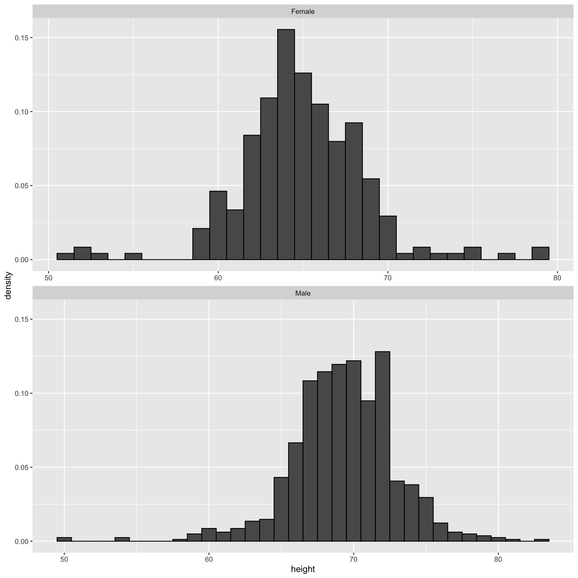
Suppose we want to describe height data to an extra-terrestrial.
A commonly used plot, popularized by Microsoft Excel, is a barplot like this:
Use jitter to avoid over-plotting
Since there are so many points, it is more effective to show distributions rather than individual points. We therefore show histograms for each group:
Use common axes
If horizontal comparison, stack graphs vertically
If vertical comparison, stack graphs horizontally
Stack horizontally
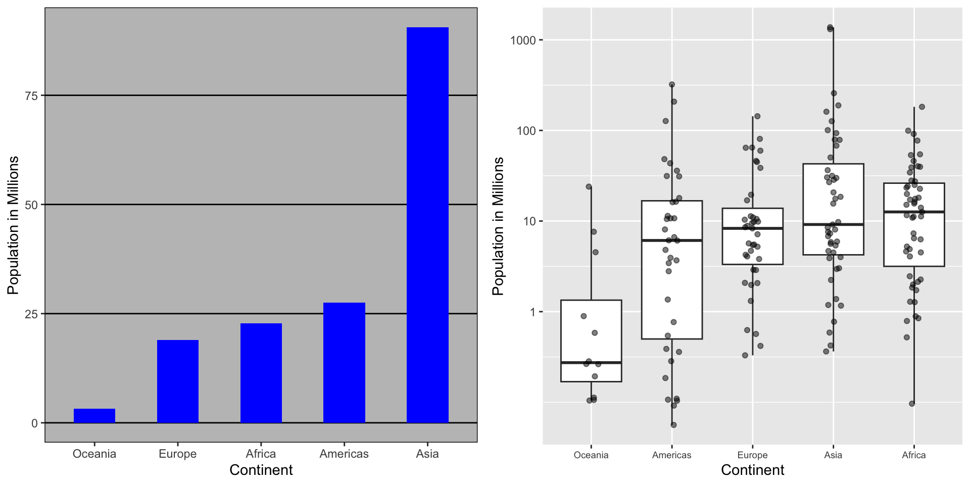
Here is a terrible plot comparing population across continents
Here a log transformation provides a much more informative plot:
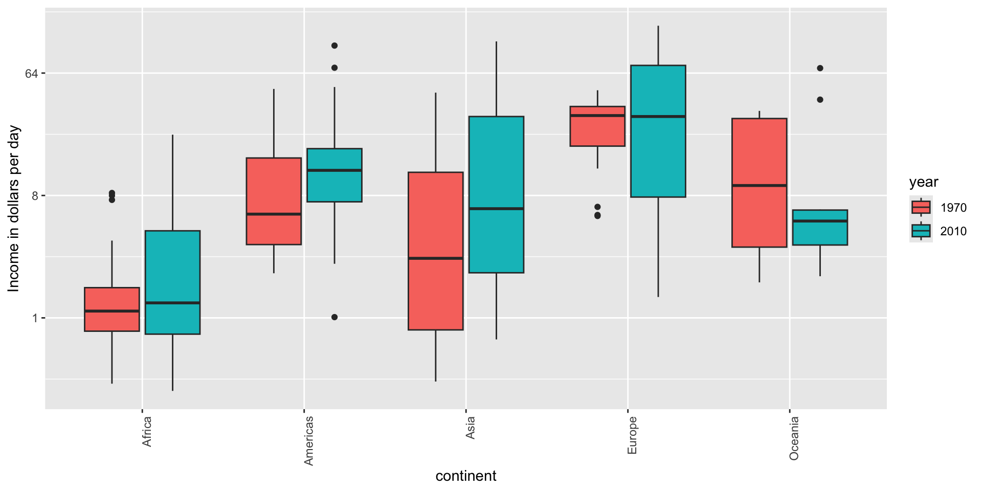
Note that it is hard to compare 1970 to 2020 by country:
Much easier if they are adjacent
The comparison becomes even easier to make if we use color to denote the two things we want to compare:
Approximately 1 in 12 men (8%) and 1 in 200 women (0.5%) worldwide are color blind.
The most common type of color blindness is red-green color blindness, which affects around 99% of all color blind individuals.
The prevalence of blue-yellow color blindness and total color blindness (achromatopsia) is much lower.
An example of how we can use a color blind friendly palette is described here.
In general, you should use scatterplots to visualize the relationship between two variables.
However, there are some exceptions.
Slope charts adds angle as a visual cue, useful when comparing two groups and each element across two variables, such as years.
Shows difference in the y-axis and average on the x-axis.
We can use
different colors or shapes for categoris
areas, brightness or hue for continuous values
We encode OPEC membership, region, and population.
When selecting colors to quantify a numeric variable, we choose between two options: sequential and diverging.
Sequential colors are suited for data that goes from high to low. High values are clearly distinguished from low values. Here are some examples offered by the package RColorBrewer:
Diverging colors are used to represent values that diverge from a center. We put equal emphasis on both ends of the data range: higher than the center and lower than the center.
The figure below, taken from the scientific literature, shows three variables: dose, drug type and survival:


Color is enough to represent the categorical variable:
Pseudo-3D is sometimes used completely gratuitously: plots are made to look 3D even when the 3rd dimension does not represent a quantity. This only adds confusion and makes it harder to relay your message. We show two examples:


(Images courtesy of Karl Broman)
By default, statistical software like R returns many significant digits.
The default behavior in R is to show 7 significant digits.
That many digits often adds no information and the added visual clutter can make it hard for the viewer to understand the message.
As an example, here are the per 10,000 disease rates, computed from totals and population in R, for California across the five decades:
| state | year | Measles | Pertussis | Polio |
|---|---|---|---|---|
| California | 1940 | 37.8826320 | 18.3397861 | 0.8266512 |
| California | 1950 | 13.9124205 | 4.7467350 | 1.9742639 |
| California | 1960 | 14.1386471 | NA | 0.2640419 |
| California | 1970 | 0.9767889 | NA | NA |
| California | 1980 | 0.3743467 | 0.0515466 | NA |
| state | year | Measles | Pertussis | Polio |
|---|---|---|---|---|
| California | 1940 | 37.8826320 | 18.3397861 | 0.8266512 |
| California | 1950 | 13.9124205 | 4.7467350 | 1.9742639 |
| California | 1960 | 14.1386471 | NA | 0.2640419 |
| California | 1970 | 0.9767889 | NA | NA |
| California | 1980 | 0.3743467 | 0.0515466 | NA |
| state | year | Measles | Pertussis | Polio |
|---|---|---|---|---|
| California | 1940 | 37.9 | 18.3 | 0.8 |
| California | 1950 | 13.9 | 4.7 | 2.0 |
| California | 1960 | 14.1 | NA | 0.3 |
| California | 1970 | 1.0 | NA | NA |
| California | 1980 | 0.4 | 0.1 | NA |
Useful ways to change the number of significant digits or to round numbers are
signif
round
You can define the number of significant digits globally by setting options like this: options(digits = 3).
Another principle related to displaying tables is to place values being compared on columns rather than rows. Compare these two presentations:
| state | disease | 1940 | 1950 | 1960 | 1970 | 1980 |
|---|---|---|---|---|---|---|
| California | Measles | 37.9 | 13.9 | 14.1 | 1 | 0.4 |
| California | Pertussis | 18.3 | 4.7 | NA | NA | 0.1 |
| California | Polio | 0.8 | 2.0 | 0.3 | NA | NA |
Another principle related to displaying tables is to place values being compared on columns rather than rows. Compare these two presentations:
| state | year | Measles | Pertussis | Polio |
|---|---|---|---|---|
| California | 1940 | 37.9 | 18.3 | 0.8 |
| California | 1950 | 13.9 | 4.7 | 2.0 |
| California | 1960 | 14.1 | NA | 0.3 |
| California | 1970 | 1.0 | NA | NA |
| California | 1980 | 0.4 | 0.1 | NA |
Graphs can be used for
our own exploratory data analysis,
to convey a message to experts, or
to help tell a story to a general audience.
Make sure that the intended audience understands each element of the plot.